Corrections to the First Edition
Dear Students,
The SAGE Editorial team conducted extensive reviews and accuracy checks during the development of Operations Management. Despite the reviews and corrections we made, we regret that the following errors were in the book’s first printing.
We want you to know of these errors, and know that we are correcting them.
Sincerely,
SAGE Publishing
Chapter 6
Page 155: In Example 6.3, bottom of page, the arrows for B13 and C13 should be pointing to cells 13, not 12.
Chapter 7
Page 191: In Example 7.1, the reorder point calculation should be the following (with 5,000 as the numerator, not 500 as the book shows):
Page 198: The standard deviation of demand formula should have an equal sign after “σP+L” so that the formula reads:
Page 205: The days receivables outstanding (DRO) formula should have the word “credit” in the denominator, reading:
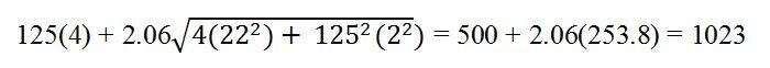
Page 206: In Solved Problem 4, the number 22 must be squared as shown here, which slightly changes the final answer. The answer should be:
Chapter 8
Page 230: In Example 8.2 the green matrix should be titled “Total Distance Traveled per Day (feet)”
Page 235: under Formula Review, the takt time formula should be:
Chapter 12
Page 379: the heading should be “Trends in Project Management” (not Product Management).
Chapter 13
Page 400: Where DMAIC is defined, the “D” is shown as “design” when it should be “define.”
Chapter 13s
Page 420 and page 428: in the middle of page 420 and in the Formula Review section on page 428, the UCLP formula should be:
Page 428: In the Formula Review section, the sample standard deviation should read as:
Chapter 14
Page 446: The definition of "insourcing" is missing in the margin. The definition is: "using internal resources to make goods and services that were previously outsourced."
Chapter 15
Page 478: In the graph in Example 15.2, the points for M1, M2, and M3, should be moved slightly to the left, so that the dotted vertical lines intersect at 200 for M1, 300 for M3, and 800 for M2, on the horizontal axis.
